一品楼免费信息最新全国茶楼app

色谱柱|高效液相柱|手性柱|气相柱|SPE|制备柱

菲罗门SPE产品
  • 菲罗门 SuperClean SCX SPE小柱 高品质固相萃取SPE产品
    ·简便的浓缩,净化和溶剂转换
    ·消除污染物和样品基质影响,以提高检测信号,延长色谱柱寿命
    ·全面的技术支持和方法开发协助
    ·严谨的QC/QA生产规程,确保质量,性能,满意度和重现性
    ·改良的选择性提供更出色的净化和分离效果
    ·简便地浓缩分析目标物
详情

菲罗门硅胶基质固相萃取小柱SPE样品前处理产品:SuperClean 系列

1.快速、简便地净化样品,浓缩分析物和溶剂转换

2.除去污染物和排除样品基质干扰,改善分离度,延长色谱柱寿命

3.全面的 QC 测试确保始终如一的高品质

4.简单的方法开发和样品制备程序

5.优化的选择性使分离更容易,重现性更好


菲罗门 SuperClean SCX SPE小柱


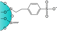
SCX是硅胶基质的苯磺酸基填料,其负电性的磺酸基具有很强的阳离子交换能力,此外苯环有一定疏水保留作用。

SCX能萃取带正电荷的碱性化合物,如胺类。

菲罗门 SuperClean SCX SPE小柱特点:

?较低的pKa值

?具备强阳离子交换和反相双重保留能力

?通过调节pH值可改变磺酸基的带电状态,便于洗脱


菲罗门 SuperClean SCX SPE小柱参数:

比表面积:510 m2/g

平均粒径:40 - 75 μm

平均孔径:70 ?


菲罗门 SuperClean SCX SPE小柱应用:

?检测食品中的杀虫剂和抗生素残留,如大环内酯类药物

?检测药物滥用,如苯丙胺

?分析生物基质中的药物及其代谢物


菲罗门 SuperClean SCX SPE小柱相关标准:

?NY/T 468-2006 动物组织中盐酸克伦特罗的测定气相色谱质谱法


菲罗门 SuperClean SCX SPE小柱供货信息:

货号

产品名称

规格

包装

9B-T011-01100

SupercleanSCX

100mg/1ml

100/Box

9B-T011-03200

SupercleanSCX

200mg/3ml

50/Box

9B-T011-03500

SupercleanSCX

500mg/3ml

50/Box

9B-T011-06500

SupercleanSCX

500mg/6ml

30/Box

9B-T011-061000

SupercleanSCX

1g/6ml

30/Box

9B-T011-121000

SupercleanSCX

1g/12ml

30/Box

9E-T011-96050

SupercleanSCX,96wellplate

50mg

2/Box

9E-T011-96100

SupercleanSCX,96wellplate

100mg

2/Box


菲罗门
全国服务
热线:020-22826668 | E-mail:vink@gzflm.com
公司地址:广东省广州市天河区天河北路179号尚层国际大厦13层(510620)
Guangzhou FLM Scientific Instrument Co.Ltd
Floor 13,Shangcengguoji Buiding,No.179 Tianhe Bei Lu,Linhe Street,Tianhe District,GuangZhou,510620, China
CopyRight © 2002-2022 广州菲罗门科学仪器有限公司 版权所有 粤ICP备05059471号 -1
免责声明 | 联系我们 |
信用中国  
扫一扫,添加菲罗门公众号